![图片[1] | 星期算术的公式(不翻日历你能算出随便哪一天是星期几吗?) | 星尘资源网](/wp-content/uploads/2025/09/1758421111769_0.jpg)
5+2=0,3+5=1,2-5=4,4+2=6.
以上算式与普通的算术不同,它符合星期算术的逻辑。星期一到星期六,分别用1到6代表,星期天用0代表。5+2=0的意思,是星期五再过两天就是星期天了。星期三再过五天就是星期一了。
![图片[2] | 星期算术的公式(不翻日历你能算出随便哪一天是星期几吗?) | 星尘资源网](/wp-content/uploads/2025/09/1758421111769_1.jpg)
星期二往回倒推五天,就是星期四。因为一周七天,所以倒推五天和再过两天是一回事,效果一样。所以,2+2=4,也有2-5=4。如果有同余的概念,就可以写成-5≡2 (mod 7)。意思是-5和2这两个数模7同余。即以7为标准,-5和2有相同的剩余。同理可证,15≡1 (mod 7),9≡2 (mod 7),等等。
理解了星期算术,现在我们谈谈计算星期几的公式。
如果你要想知道历史上一些重要的日子,或者未来随便哪一天是星期几,不翻日历,能算得出来吗?
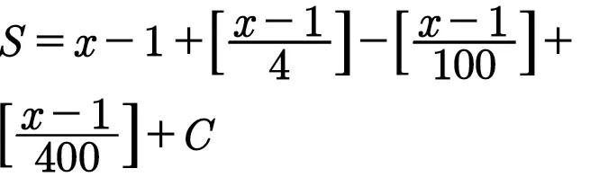
根据历法原理,按照下面的公式计算,就可以求得某个日期是星期几了。这个公式如下图所示:
![图片[3] | 星期算术的公式(不翻日历你能算出随便哪一天是星期几吗?) | 星尘资源网](/wp-content/uploads/2025/09/1758421111769_2.jpg)
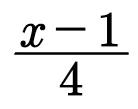
这里,x是公元的年数,C是从这一年的元旦算到这天为止(含这一天)的天数。中括号是取整符号,表示括号里面的数取整数部分,小数部分忽略不计。如
![图片[4] | 星期算术的公式(不翻日历你能算出随便哪一天是星期几吗?) | 星尘资源网](/wp-content/uploads/2025/09/1758421111769_3.jpg)
表示为
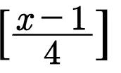
![图片[5] | 星期算术的公式(不翻日历你能算出随便哪一天是星期几吗?) | 星尘资源网](/wp-content/uploads/2025/09/1758421111769_4.jpg)
的整数部分,也就是说,三个分数式子只取商数的整数部分,余数略去不计,再把其他几项依次加减,就可以得到S。
求出S后,再用7除。如果余数是0,即恰好除尽,这一天就是星期天。用同余式表示就是:S≡0 (mod 7),对应星期天。如果余数是1,即S≡1 (mod 7),对应星期一。如果余数是2,即S≡2 (mod 7),对应星期二。以此类推。
例一:1921年7月1日,中国共产党在上海成立。你可知道1921年7月1日是星期几?
按照上面的公式,可得:
![图片[6] | 星期算术的公式(不翻日历你能算出随便哪一天是星期几吗?) | 星尘资源网](/wp-content/uploads/2025/09/1758421111769_5.jpg)
2567÷7=366......5
或者可以写成
2567=366×7+5
因为余数是5,即2567≡5 (mod 7)
所以1921年7月1日是星期五。
例二:开国大典星期几?
按照上面的公式计算,可以知道:
![图片[7] | 星期算术的公式(不翻日历你能算出随便哪一天是星期几吗?) | 星尘资源网](/wp-content/uploads/2025/09/1758421111769_6.jpg)
2694÷7=384......6
2694模7余6,即2694≡6 (mod 7),所以1949年10月1日是星期六。
例三:1984年元旦是星期几?
按照上面公式计算可得:
![图片[8] | 星期算术的公式(不翻日历你能算出随便哪一天是星期几吗?) | 星尘资源网](/wp-content/uploads/2025/09/1758421111769_7.jpg)
2464÷7=352
因为7|2464,即2464能够被7整除,余数是0,所以,1984年元旦是星期日。
![图片[9] | 星期算术的公式(不翻日历你能算出随便哪一天是星期几吗?) | 星尘资源网](/wp-content/uploads/2025/09/1758421111769_8.jpg)
![图片[10] | 星期算术的公式(不翻日历你能算出随便哪一天是星期几吗?) | 星尘资源网](/wp-content/uploads/2025/09/1758421111769_9.jpg)
![图片[11] | 星期算术的公式(不翻日历你能算出随便哪一天是星期几吗?) | 星尘资源网](/wp-content/uploads/2025/09/1758421111769_10.jpg)
科学尚未普及,媒体还需努力。感谢阅读,再见。















请登录后查看评论内容